官能ベイズ
Sensual Bayes –
Innovation Management –
町田正(MACHIDA, Tadashi.)
Keywords: 官能, 野心, 経営戦略, イノベーション,
Innovation management, Innovation, Management, ベイズ, Bayes,
ゲーム, Sensory,
Before,

Permissioned.

After,

Decentralized..


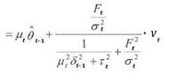
For time-series data in innovation of
advanced process, we calculate the linear estimation.
Data rather than sequentially estimated
from the total amount of survey,
And temporarily holds the value
of as a pre-estimated at a certain
point in time,
Sales linear function
from
that wishful thinking of the Player,
the real-time on the estimated potential value
, determine the consequences recursive
relationship.
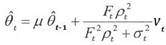
SensualRemodelingθtheta_sensual function =
, but
also unpermissioned.
![]()
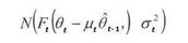
And as in this case, for example, think about
the exit strategy of market release time of innovation, Early majority of the
accumulated past data groups, And it is
incorporated into the estimated value
.
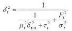
It is possible to estimate by the way,
∴ Time series presented in
the interactive simulation.
It suggests the scalability of the
realistic-time functional evaluation of the Bayesian approach continuing to
this assumption.
The state of the potential value
, It is the amount that can not be
directly observed.
If the observed value
depends on
,
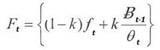
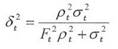
Equation is expressed as:
Known coefficient
, Market error,![]()
Observation of selling hope,
![]()
Market error,
![]()
Also includes error value of each
individual modification.
By the way,
to be continue...


![]()
![]()
![]()



![]()
![]()
![]()
![]()
![]()
![]()
![]()